注册 无障碍 适老化 繁体版 智能机器人 支持IPV6
当前位置:乡镇>农坝镇人民政府>政务公开>政府信息公开目录>基层政务公开>社会救助领域>审核结果信息
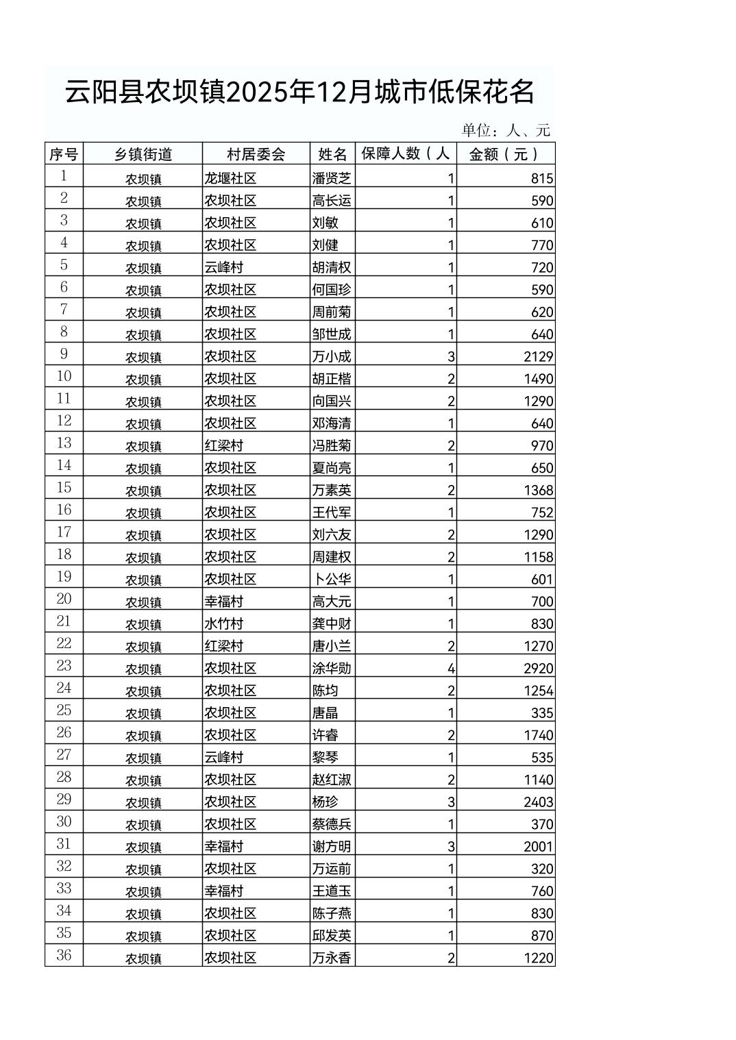
云阳县农坝镇2025年12月城市低保花名
日期:2025-12-31 字体:【


主办:云阳县人民政府办公室 版权所有:云阳县人民政府

网站标识码:5002350018 网站维护联系电话:023-55128091

ICP备案:渝ICP备12003733号-1 渝公网安备:50023502000110号

重庆云阳微发布
新浪官方微博