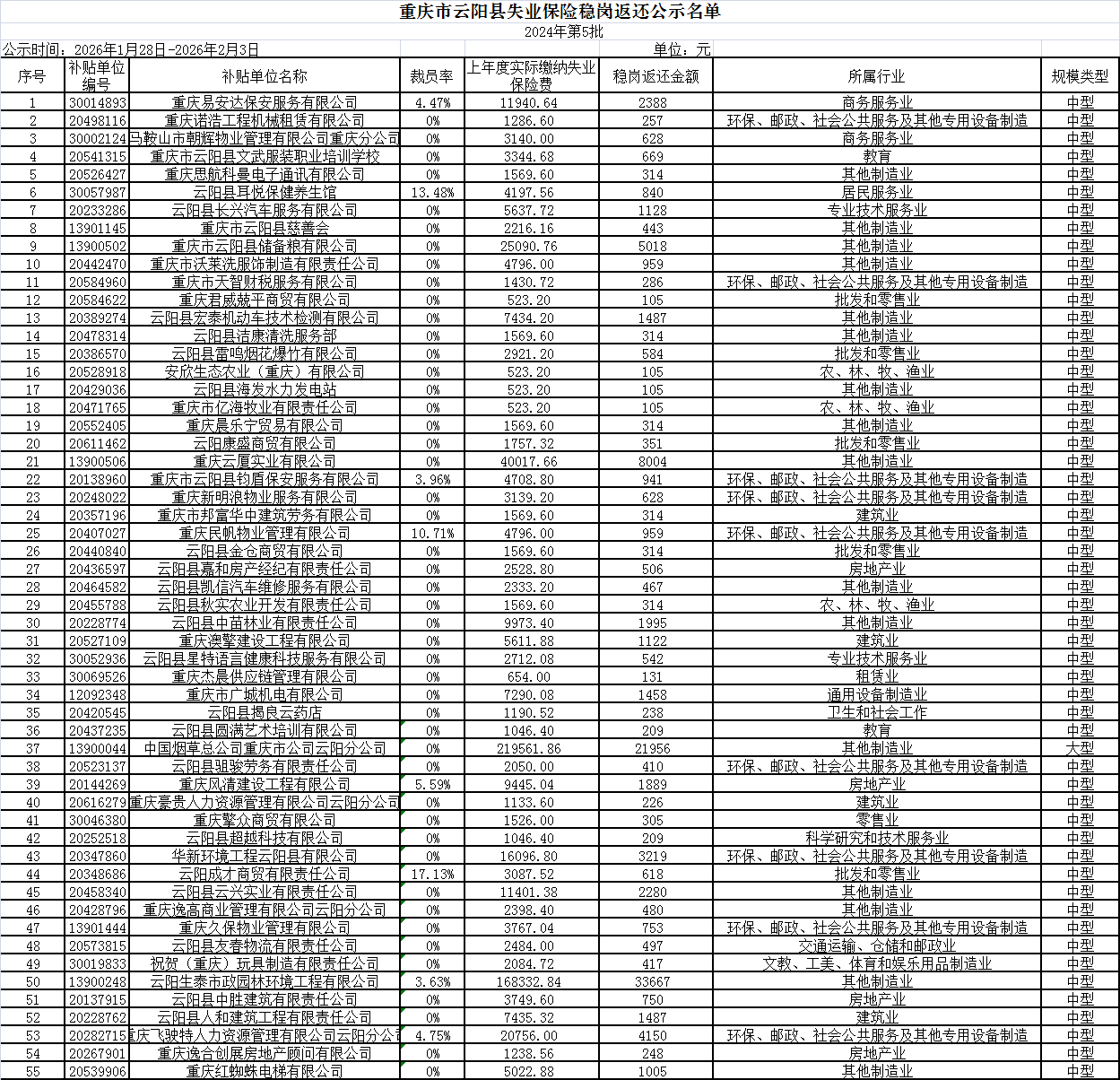
云阳县2024年度第五批失业保险稳岗返还名单公示
根据市人力社保局、市财政局、市税务局《关于实施失业保险稳岗惠民政策措施的通知》(渝人社规〔2025〕10号)精神,现将云阳县2024年度第五批失业保险稳岗返还名单公示如下,广泛征求群众意见。公示期为5个工作日(2026年1月28日—2026年2月3日)。
任何单位或个人对公示对象有异议的,可通过来电、来信、来访等形式向云阳县就业和人才中心反映。投诉、反映情况应坚持实事求是的原则。凡以单位名义反映的应加盖单位公章,凡以个人名义举报的应署真实姓名。投诉电话: 023-55129337,联系人:沈老师。
云阳县就业和人才中心
2026年1月28日

国务院部门网站
地方政府网站
市政府部门网站
区(县)政府网站
其他网站
主办:云阳县人民政府办公室 版权所有:云阳县人民政府
网站标识码:5002350018 网站维护联系电话:023-55128091
重庆云阳微发布
新浪官方微博